There are currently 222 documents in the archive.

Bibliography Archives List Library Listing

29 July 2012
Added "Space Debris and Its Mitigation" to the archive.
16 July 2012
Space Future has been on something of a hiatus of late. With the concept of Space Tourism steadily increasing in acceptance, and the advances of commercial space, much of our purpose could be said to be achieved. But this industry is still nascent, and there's much to do. So...watch this space.
9 December 2010
Updated "What the Growth of a Space Tourism Industry Could Contribute to Employment, Economic Growth, Environmental Protection, Education, Culture and World Peace" to the 2009 revision.
7 December 2008
"What the Growth of a Space Tourism Industry Could Contribute to Employment, Economic Growth, Environmental Protection, Education, Culture and World Peace" is now the top entry on Space Future's Key Documents list.
30 November 2008
Added Lynx to the Vehicle Designs page.
More What's New Subscribe Updates by Email
T Hall, 28-30 September 1999, "Inhabiting Artificial Gravity", . AIAA 99-4524. AIAA Space Technology Conference, 28-30 September 1999, Albuquerque, New Mexico.
Also downloadable from http://www.spacefuture.com/archive/inhabiting artificial gravity.shtml

References and Referring Papers    Printable Version 
 Bibliographic Index
Inhabiting Artificial Gravity
Theodore W Hall

This paper examines artificial gravity from the point of view of a person living and moving within a rotating habitat. First, it reviews the literature on comfort conditions for rotation. Next, it analyzes the relative motion of free-falling objects and the apparent slopes of surfaces to reveal the geometry of the effective gravitational field, its variation from Earth-normal gravity, and its variation within the supposed comfort zone for rotation. Finally, it examines the role of gravity in perception psychology and architectural design theory to explore the implications of artificial gravity for habitat design. An architectural grammar comprising wall, floor, and ceiling elements in particular orientations with respect to gravity is common sense. Nevertheless, its application to artificial gravity may be inadequate. Due to Coriolis accelerations and cross-coupled rotations, not only the up-down (radial) but also the east-west (tangential) directions emerge as gravitationally distinct. Inasmuch as architecture is powerless to mask these distinctions, it would do well to help the inhabitants adapt to them. It may do this by providing visual or other cues to assist orientation, as well as by arranging activities to minimize off-axis motion.

INTRODUCTION

There have been many proposals for orbital habitats that incorporate artificial gravity. Most of the analysis has focused on an external view of the artifact: structure, mass, deployment, axis orientation, dynamic stability, and so on. In contrast, relatively little has been written about the internal artificial-gravity environment and its implications for the architecture of the habitat and the performance of the crew. This is rather ironic, since crew support is the most common justification for investing in artificial gravity at all.

Concept studies have implied, and sometimes stated outright, that artificial gravity should permit the use of common terrestrial design elements. They have downplayed the artificiality of the gravity, and have not explored its ramifications for habitat design.

Terrestrial gravity is a quintessentially common experience. An architectural grammar comprising wall, floor, and ceiling elements in particular orientations with respect to gravity is common sense. Nevertheless, this grammar may not be adequate for artificial gravity. Relative motion in a rotating environment involves Coriolis accelerations and cross-coupled rotations that essentially twist the apparent gravitational field.

MATHEMATICAL NOMENCLATURE

The essential formulae for artificial gravity can be found in any textbook on physics or mechanical dynamics. This paper adopts the following nomenclature: boldface indicates vectors; italics indicate scalar magnitudes; dots above indicate derivatives with respect to time; uppercase symbols refer to the inertial frame, while lowercase symbols refer to the rotating frame; measurement units are radians, meters, and seconds, except where stated otherwise.

r  radius from rotation axis
rf  radius of floor
  angular velocity of habitat
Vt  tangential velocity of habitat
  
v  relative velocity of inhabitant or object
A  acceleration
Acent  centripetal acceleration
  
ACor  Coriolis acceleration
  
acent  relative centripetal acceleration, for circumferential motion in the habitat's plane of rotation
  
X,Y,Z  inertial Cartesian coordinates
x,y,z  relative Cartesian coordinates, tied to the rotating habitat
t  elapsed time
COMFORT IN ARTIFICIAL GRAVITY

In the early days of space station design, it was widely assumed that orbital habitats would provide artificial gravity. Tsiolkovsky, Oberth, Noordung, von Braun and other visionaries performed detailed calculations and published various concepts for rotating space stations, several decades before the first Sputnik entered Earth orbit. With the beginning of manned space flight in the 1960s, there was concerted effort to determine the comfort criteria for rotating habitats.

As experience with weightless space flight has accumulated, artificial gravity has assumed a lower priority. Since the beginning of the Salyut and Skylab missions, access to a micro-gravity environment has been one of the main motivations for space flight. Ironically, while extended stays in weightlessness have revealed its dangers, they have also shown that it is survivable.

Hence, much of the research into the human factors of rotating habitats is twenty or thirty years old. Over the past four decades, several authors have published guidelines for comfort in artificial gravity, including graphs of the hypothetical "comfort zone" bounded by values of acceleration, head-to-foot acceleration gradient, rotation rate, and tangential velocity. Individually, these graphs depict the boundaries as precise mathematical functions. Only when studied collectively do they reveal the uncertainties.1-6

Table 1 summarizes the comfort boundaries proposed by several authors. In this context, comfort does not imply luxury, but merely mitigation of symptoms of motion sickness. The parameters are:

Table 1: Estimates of the Comfort Boundaries for Artificial Gravity.

Author Year
Published
Min.
Gravity



Max.
Gravity



Max.
Gravity
Gradient
per Meter

Max.
Angular
Velocity
of Habitat

Min.
Tangential
Velocity
of Habitat

Clark & Hardy119600.1 rpm
Hill & Schnitzer219620.035 g1 g4 rpm6 m/s
Gilruth3
"optimum"
19690.3 g0.9 g8 %6 rpm
2 rpm
Gordon & Gervais419690.2 g1 g8 %6 rpm7 m/s
Stone519730.1 g1 g25 %6.4 rpm10.2 m/s
Cramer619850.1 g1 g0.03 g3 rpm7 m/s

  • Minimum Gravity: This limit usually aims to provide adequate floor traction for mobility. In the case of Hill and Schnitzer, it appears to be an arbitrary lower bound on a logarithmic scale. The minimum required to preserve health remains unknown. Most authors apply this limit only to the habitat's centripetal acceleration (Acent), but Stone applies it to the total acceleration of an inhabitant walking retrograde at 1 meter per second (Acent - ACor + acent).

  • Maximum Gravity: For reasons of both comfort and cost, this generally should not exceed 1 g. Again, most authors apply this only to the centripetal acceleration (Acent), but Stone applies it to the total acceleration of an inhabitant walking prograde at 1 meter per second (Acent + ACor + acent). Gilruth gives no explanation for his specification of 0.9 g. Similar to Stone, he may be allowing for some inevitable increase from the extra accelerations while walking prograde.

  • Maximum Gravity Gradient per Meter: An excessive gradient leads to sensations of heaviness in the feet and lightness in the head. Most authors state the gradient limit as a maximum percentage of the centripetal acceleration at the floor; this then directly determines the minimum floor radius:

    Cramer, however, proposes an absolute gradient, referenced to Earth gravity, independent of floor radius.

  • Maximum Angular Velocity of Habitat: This limit aims to avoid motion sickness caused by the cross-coupling of normal head rotations with the habitat rotation. In Earth-based centrifuge experiments, when subjects turn their heads about any axis not aligned with the centrifuge rotation, they experience illusions of rotation about a mutually perpendicular axis. The illusion is approximately proportional in magnitude and direction to the vector product of the angular velocities of the centrifuge and the head.1,7 This mismatch between visual and vestibular senses of motion is a major contributor to motion sickness.8-9 The maximum comfortable angular velocity of the habitat depends largely on the susceptibility of the inhabitants and the time permitted for their adaptation. Lower values accommodate a broader sample of the general population. Gilruth specifies 6 rotations per minute for "comfort" but only 2 for "optimum comfort". Graybiel provides more insight:10

    "In brief, at 1.0 rpm even highly susceptible subjects were symptom-free, or nearly so. At 3.0 rpm subjects experienced symptoms but were not significantly handicapped. At 5.4 rpm, only subjects with low susceptibility performed well and by the second day were almost free from symptoms. At 10 rpm, however, adaptation presented a challenging but interesting problem. Even pilots without a history of air sickness did not fully adapt in a period of twelve days."

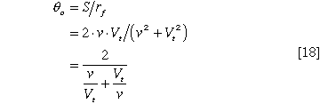
  • Minimum Tangential Velocity of Habitat: This should be large compared to the relative velocity of objects within the habitat. The goal is to minimize the ratio of Coriolis acceleration to centripetal acceleration. For relative motion in the plane of rotation, this equals twice the ratio of relative velocity to habitat tangential velocity:

    Hill and Schnitzer specify a tangential velocity of at least 6 meters per second (20 feet per second) so that walking prograde will not change one's apparent gravity (Acent + ACor + acent) by more than 15%. Nevertheless, with a tangential velocity of only 6 m/s, a person would have to walk very slowly - less than 0.5 m/s - to stay within the 15% limit. Stone proposes that an object's apparent gravity should not change by more than 25% when carried at 1.2 meters per second. This implies a minimum habitat tangential velocity of about 10.2 meters per second.

THE GEOMETRY OF ARTIFICIAL GRAVITY

Tables and graphs of mathematical limits are handy references for broad-brush engineering analysis, but they do nothing to convey the look and feel of artificial gravity. In fact, by presenting only the averages, and not the underlying statistics, they give a false sense of certainty regarding the comfort boundaries.

Comfort is a subjective, psychological quality of individuals that depends on many things, including intangibles such as stress, motivation, and general satisfaction. It may be influenced by aspects of environmental design beyond the parameters of rotation. It's not clear that either the experimenters or the subjects have used a consistent definition of comfort in establishing the boundaries shown in Table 1.

Perhaps a more intuitive way to compare artificial gravity environments with each other as well as with Earth is to observe the relative motions of free-falling particles and the apparent slopes of surfaces.

Free-Fall and the Involute Curve

Abnormalities in free-fall motion reveal abnormalities in the gravity itself. To facilitate a side-by-side comparison of various gravity environments, it's useful to specify a few standard tests:

  • Drop from an initial height h.

  • Hop vertically from the floor with an initial relative velocity v.

The following discussion uses a Cartesian coordinate system x,y,z tied to the rotating habitat. The x,y,z axes initially coincide with inertial X,Y,Z axes, but rotate about the Z axis with angular velocity .

Drop

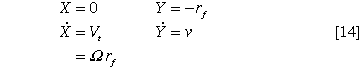
Figure 1 shows the motions of an observer and of a particle that drops from a height h. The particle's initial position and velocity in the rotating frame are:

In the inertial frame:

Before striking the floor, the particle travels a linear distance in the inertial frame:

and subtends an angle of:

If the observer had not dropped it, the particle would have traveled the same distance on a circular path subtending an angle of:

This is the angle that the observer subtends while the particle is falling.

In the observer's rotating frame of reference, the particle falls along an involute curve. It strikes the floor at an arc distance from the observer:

where positive is east (prograde) and negative is west (retrograde). The particle always deflects to the west, because:

Figure 1: A Dropping Particle in Artificial Gravity.

The angles p and o depend only on the initial height h and the floor radius rf. If the expressions are rewritten in terms of the ratio h/rf, they become:

Smaller ratios of h to rf result in smaller angles, smaller angle differences, and a more vertical path as seen from the rotating frame.

The angular velocity and centripetal acceleration Acent influence the speed at which the particle falls, but not the path it follows. The elapsed time is:

Hop

Figure 2 shows the motions of an observer and of a particle that hops vertically from the floor with an initial relative velocity v. The particle's initial position and velocity in the rotating frame are:

In the inertial frame:

The particle traces a chord through a circle in the inertial frame. The slope angle of the chord is:

The chord subtends an angle of:

The X-axis displacement, due entirely to the tangential velocity at the beginning of the hop, is:

During this time, the observer travels this same distance along a circular path that subtends an angle of:

Here, the angles p and o depend on the ratio of the relative velocity v to the environment's tangential velocity Vt:

As in the drop, the particle strikes the floor at an arc distance from the observer:

Figure 2: A Hopping Particle in Artificial Gravity.

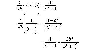
In contrast to the drop, the hop always deflects to the east (prograde), because:

Though this is not immediately obvious, it can be seen by plotting the functions and also by comparing the derivatives:

Equations 19 through 21 show that p and o are zero when v is zero, and positive when v is positive. However, p increases faster than o. In fact, if the ratio v/Vt exceeds 1, then o decreases toward zero.

The ratio v/Vt determines the proportions of the particle's path as seen in the rotating frame. Smaller ratios yield slimmer, more vertical, more Earth-normal paths.

The overall size of the path depends on the floor radius and the apparent gravity. For a given tangential velocity Vt , a larger floor radius rf yields weaker acceleration Acent and increases the breadth and height of the path proportionately.

From Figure 2 and Equation 17, the elapsed time is:

Variation within the Supposed Comfort Zone

In the analysis above, the height h and velocity v represent parameters of human size and speed. The designer should assume values adequate to support the activities of the inhabitants. To provide some semblance of normal life, the designer should select values of rf and Vt that are large with respect to h and v.

Unfortunately, that increases both the mass and kinetic energy of the rotating spacecraft. Economics pushes in the opposite direction, toward minimizing the radius and tangential velocity. As judged by the behavior of free-falling particles, this produces the least normal gravity environment.

Table 2 summarizes, for each of several estimates of the comfort zone, the boundary point with the minimum acceptable radius and tangential velocity. In each row, the two limiting parameters are formatted in boldface; the other parameters are computed from them. Where radius is a limiting parameter, it's the inverse of the maximum acceptable gravity gradient per meter.

Table 2: Artificial Gravity with Minimum Comfortable Radius and Tangential Velocity.

# Author Nominal
Gravity

Floor
Radius

Angular
Velocity

Tangential
Velocity

1Hill & Schnitzer0.26 g14.3 m4 rpm6 m/s
2Gilruth0.3 g12.5 m4.6 rpm6.1 m/s
3Gilruth "optimum"0.3 g67.1 m2 rpm14.0 m/s
4Gordon & Gervais0.40 g12.5 m5.3 rpm7 m/s
5Stone0.69 g15.2 m6.4 rpm10.2 m/s
6Cramer0.22 g22.3 m3 rpm7 m/s

Figure 3 shows, for each condition listed in Table 2, the paths followed by particles:

  • dropping from an initial height of 2 meters;

  • hopping from the floor with an initial velocity of 2 meters per second.

Though somewhat arbitrary, these actions represent a rough envelope for common human motion. A height of 2 meters is within reach of most adults, somewhat above the top of the head. On Earth, a 2-meter-per-second hop raises one's center of mass by 0.204 meters (about 8 inches); in Figure 3, a short horizontal line marks this height.

On Earth, both of these actions would trace vertical paths. Figure 3 shows that the various estimates of the comfort boundaries permit considerable deviations from Earth-normal gravity.

Judging from Figure 3, it appears that Stone's criteria of 6.4 rpm and 10.2 m/s provide one of the more normal gravity environments. Hop #5 is the closest to normal breadth and height, and is proportionally more vertical than all except #3 (Gilruth's "optimum" comfort limit). Drop #5 is intermediate. Unfortunately, this figure doesn't tell the full story of gravitational distortion. Stone achieves that normal-looking hop by imposing an exceptionally high angular velocity, to provide a higher tangential velocity and centripetal acceleration. Graybiel's findings suggest that the inhabitants may have a tough time overcoming dizziness.10

Figure 3: Free-Falling Particles in the Various Conditions of Artificial Gravity Listed in Table 2.

Dizziness is inherently counter-intuitive - almost by definition - and difficult to represent on paper. One of the lessons of Figure 3 is that, in order to avoid the problems of dizziness associated with high angular velocities, while minimizing radius and tangential velocity, one may need to tolerate more deviant behavior of free-falling particles.

If cost is no obstacle, then the best solution is to provide a maximal radius and tangential velocity and a minimal angular velocity. One can simulate an Earth-normal gravity environment within any non-zero tolerance, provided the radius is sufficiently large. In this respect, there is no substitute for a large radius.

Linear Motion and the Catenary Curve

Linear motion in the plane of rotation requires Coriolis acceleration in order to maintain constant velocity in the rotating frame. The Coriolis acceleration is perpendicular to the relative velocity. If the relative velocity is not tangential to the rotation, then the Coriolis acceleration will not be radial and will not align with the centripetal acceleration. The nonaligned Coriolis component skews the total apparent gravity and alters the apparent slope of surfaces.

Two examples of such motion arise in many designs for artificial-gravity habitats:

  • walking along the axis of a right circular cylinder (such as a refurbished STS external tank, ISS module, or similar structure) oriented tangentially to the rotation;

  • climbing a ladder between decks.

Both of these actions involve motion along a straight chord in the plane of rotation. This chord is tangent to the rotation only at its midpoint; at all other points, the chord is sloped with respect to the artificial gravity.

Figure 4 shows an observer walking west to east (prograde) with relative velocity v along a straight chord in a rotating habitat. The chord is parallel to the x axis, at y = -rc, where rc is the radius to the chord's midpoint.

The total apparent gravity is the sum of the centripetal and Coriolis accelerations:

where i and j are unit vectors parallel to the x and y axes.

It's convenient at this point to define an intermediate constant term q:

The dotted lines in Figure 4 show the apparent gravitational field. The acceleration vector A converges on a point, offset above the center of rotation by the Coriolis component.

As the observer moves through his environment, he carries with him his own coordinate system that defines his sense of horizontal and vertical. Figure 4 designates these as and , respectively. The axis aligns with the acceleration vector A, which defines "up". In the , coordinate system, the apparent slope of the chord is a function of arc length x, where x seems to be measured on a curved path that initially slopes upward, levels off at mid-chord (x=0), and then slopes down.

Figure 5 shows the apparent slope of the chord and strength of gravity in the observer's , coordinate system.

Figure 4: Walking Prograde on a Flat Floor in a Rotating Habitat.
Figure 5: Apparent Slope of Floor and Strength of Gravity Perceived by the Observer in Figure 4.

At each point, the apparent slope of the chord is:

Replacing x with an expression for arc length measured from mid-path in the , coordinate system, this becomes:

Thus, the apparent slope of the chord follows a catenary curve:

The magnitude of the acceleration follows a similar catenary curve. From Equations 26, 28, and 29:

As in Figure 4, the dotted lines in Figure 5 show the apparent gravitational field.

Figures 6 and 7 show the situation for an observer walking in the opposite direction. Because the Coriolis acceleration is reversed, the apparent gravity is weaker but the apparent slope is steeper.

Figure 6: Walking Retrograde on a Flat Floor in a Rotating Habitat.
Figure 7: Apparent Slope of Floor and Strength of Gravity Perceived by the Observer in Figure 6.

Figures 8 and 9 show an observer climbing a ladder aligned on a radius. In this case, the radius rc to the midpoint of the chord is zero.

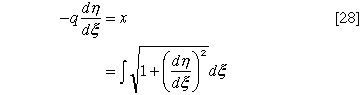
To keep himself on top of the catenary curve, rather than hanging beneath it, the observer should ascend on the ladder's west side and descend on its east side. Therefore, the ladder should be accessible from both sides. Alternatively, the ladder could be laterally offset or inclined from the radius by an amount sufficient to assure that apparent gravity always presses the observer into the ladder and never pulls him away. In any case, the plane of the ladder should be perpendicular to the plane of rotation.

Figure 8: Climbing a Ladder in a Rotating Habitat.
Figure 9: Apparent Slope of Ladder and Strength of Gravity Perceived by the Observer in Figure 8.

As a rough guide to discerning the amount of slope that might be acceptable in artificial gravity, Table 3 lists some typical slopes in terrestrial architecture.11-13,18

Table 3: Typical Slopes in Terrestrial Architecture.

ConditionSlope
Maximum slope for residential stairs
(0.21 m riser, 0.23 m tread)
42.4°
Maximum slope for public stairs
(0.18 m riser, 0.28 m tread)
32.7°
Maximum slope for means-of-egress ramps for healthy persons (1:8)7.1°
Maximum slope for means-of-egress ramps for handicapped persons (1:12)4.8°
Slope at which warning signs are posted on some highways (8% grade)4.6°
Maximum wash of stair tread (1:60)1.0°
Slope sufficient for water run-off, but not generally perceived (1:100)0.6°
Minimum slope for 0.2 m sewage drain (1:200)0.3°
ADAPTING TO ARTIFICIAL GRAVITY

Studies indicate that familiarity with gravity is not innate, but is learned in infancy. At 4 months, infants begin to realize that a rolling ball cannot pass through an obstacle, but are not yet aware that an unsupported ball will fall. At 5 months, they discriminate between upward and downward motion. At 7 months, they show sensitivity to gravity and the "appropriate" acceleration of a ball rolling upward or downward. By adulthood, falling objects are judged to move naturally only if they accelerate downward on a parabolic path. These judgments are based not on mathematical reasoning, but on visual experience; when asked to reason abstractly about such motion, many adults are prone to error.14-16

Gravity underpins the sense of direction. Six directions on three axes are innately perceptible: up-down (height), left-right (breadth), and front-back (depth). The anisotropic character of this space is judged by the effort required to move in any given direction. On Earth, up and down are distinct irreversible poles, while left, right, front, and back are interchangeable simply by turning around. Thus, in Earth gravity, there are three principal directions - up, down, and horizontal - and three basic architectural elements - ceiling (or roof), floor, and wall.

These common-sense ideas, rooted in the experience of terrestrial gravity, permeate architectural theory. Thiis-Evensen builds his entire grammar around the three elements of floor, wall, and roof.17 Habitat design for a gravitational environment distinctly different from Earth's requires a fundamental reexamination of terrestrial design principles. The goal is not to mimic Earth, but rather, to help the inhabitants adapt to the realities of their rotating habitat.

In artificial gravity, the effects of Coriolis acceleration and cross-coupled rotation arise only during relative motion within the rotating habitat. While stationary, one may forget about these effects - only to be rudely reminded of them when rising out of a chair, lifting a piece of equipment, or turning to the side. It's possible to minimize these effects by planning activities to avoid off-axis motion. Where off-axis motion is unavoidable, one may arrange things to provide inhabitants with the best mechanical advantage with respect to the Coriolis acceleration.

One may also strive to keep the inhabitants passively oriented to the rotation of their habitat, allowing them to prepare themselves for the consequences of their actions.

Hesselgren constructs his architectural theory on the foundations of perception psychology.18,19 He describes "transformation tendencies" between various senses, whereby a perception in one modality may produce a mental image of a perception in another. For example, visual texture gives rise to a mental image or expectation of tactile grain. One modality that he never discusses, which is taken for granted on Earth but cannot be in space, is vestibular perception. It might be possible, through experience in a properly designed habitat, to acquire a transformation tendency to vestibular perception from visual, acoustic, haptic, or other perceptions. The goal is not to induce motion sickness by the mere sight of some visual cue. Rather, it is to provide visual or other reminders that motion relative to these cues will result in certain inescapable side effects, inherent in the artificial gravity. These perceptual cues would act as signals, triggering adaptive coordination in the inhabitants. From the designer's point of view, a consistent vocabulary of such signals would have to arise from convention. From the inhabitants' point of view, these conventions might to some extent be taught, but the unconscious transformation to a vestibular image would rely on association based on direct experience.

As to the kinds of cues that might be provided, that's open to debate. They might be as banal as stenciled labels: "This end up"; "This end forward". They might be more refined and symbolic, engaging multiple facets of perception such as advancing and receding colors and bas-relief shapes.

In a one-off design, it might be argued that no special cues are necessary. As long as the habitat is asymmetrical, the inhabitants will come to recognize, for example, that the galley is fore and the lab is aft. On the other hand, if the habitat comprises several chambers, it may still be beneficial to provide consistent cues to orientation that carry through from one chamber to the next.

CONCLUSIONS

Adherence to the comfort zone for artificial gravity does not guarantee an Earth-normal gravity environment. Consequently, habitat designs that function well in terrestrial gravity are not necessarily appropriate for artificial gravity.

Artificial gravity can approach Earth-normalcy within any non-zero tolerance, provided that the radius and tangential velocity are large and the angular velocity is small.

A habitat carefully designed to accommodate the peculiarities of artificial gravity may provide adequate comfort at a smaller radius than would otherwise be acceptable. This would reduce the mass and energy necessary to provide such a habitat.

Adaptations for artificial gravity can not be contained in some add-on package, to be installed after the habitat design is otherwise complete. On the contrary, artificial gravity is an overarching concept that should be forefront throughout the design process. Gravity permeates the environment. Artificial gravity is distinct from both Earth-gravity and weightlessness and demands the same attention to detail.

At a minimum, activities should be arranged to avoid off-axis motion, and to provide the best stability and mechanical advantage with respect to Coriolis forces and cross-coupled rotations.

There may be some benefit in providing consistent, explicit visual cues to keep the inhabitants oriented with respect to the rotation; this remains to be tested.

REFERENCES
  1. Carl C Clark and James D Hardy, April 1960, " Gravity Problems in Manned Space Stations", Proceedings of the Manned Space Stations Symposium, April 20-22, 1960, p. 104-113. Institute of the Aeronautical Sciences.
  2. Paul R Hill and Emanual Schnitzer, September 1962, " Rotating Manned Space Stations", Astronautics, vol. 7, no. 9, p. 14-18, September 1962. American Rocket Society.
  3. Robert R Gilruth, 1969, " Manned Space Stations - Gateway to our Future in Space", Manned Laboratories in Space, p. 1-10. Edited by S. Fred Singer. Springer-Verlag.
  4. Theodore J Gordon and Robert L Gervais, 1969, " Critical Engineering Problems of Space Stations", Manned Laboratories in Space, p. 11-32. Edited by S. Fred Singer. Springer-Verlag.
  5. Ralph W Stone, 1973, " An Overview of Artificial Gravity", Fifth Symposium on the Role of the Vestibular Organs in Space Exploration, p. 23-33. NASA Scientific and Technical Information Division, 1973. Special Publication 115: proceedings of a symposium held in 1970.
  6. Bryant D Cramer, 1985, " Physiological Considerations of Artificial Gravity", Applications of Tethers in Space, vol. 1, p. 3·95-3·107. Edited by Alfred C. Cron. NASA Scientific and Technical Information Branch, 1985. Conference Publication 2364: proceedings of a workshop held in Williamsburg, Virginia, June 15-17, 1983.
  7. Eugene F Lally, September 1962, " To Spin or Not To Spin", Astronautics, vol. 7, no. 9, p. 56-58, September 1962. American Rocket Society.
  8. Mary M Connors, Albert A Harrison and Faren R Akins, 1985, " Living Aloft: Human Requirements for Extended Spaceflight", NASA Scientific and Technical Information Branch, 1985. Special Publication 483.
  9. Beverly Merz, October 1986, " The Body Pays a Penalty for Defying the Law of Gravity", Journal of the American Medical Association, vol. 256, no. 15, p. 2040+, October 17, 1986. American Medical Association.
  10. Ashton Graybiel, May 1975, " Some Physiological Effects of Alternation Between Zero Gravity and One Gravity", Space Manufacturing Facilities (Space Colonies): Proceedings of the Princeton / AIAA / NASA Conference, May 7-9, 1975, p. 137-149. Edited by Jerry Grey. American Institute of Aeronautics and Astronautics, 1977.
  11. BOCA, 1989, The BOCA National Building Code, 1990, eleventh edition. Building Officials and Code Administrators International, Inc.
  12. BOCA, 1989, The BOCA National Plumbing Code, 1990, eighth edition. Building Officials and Code Administrators International, Inc.
  13. John Templer, 1992, The Staircase: Studies of Hazards, Falls, and Safer Design. MIT Press.
  14. Bruce Bower, 'Infants Signal the Birth of Knowledge', Science News, vol. 142, no. 20, p. 325, November 14, 1992. Science Service, Inc.
  15. In Kyeong Kim and Elizabeth S Spelke, May 1992, 'Infants' Sensitivity to Effects of Gravity on Visible Object Motion', Journal of Experimental Psychology: Human Perception and Performance, vol. 18, no. 2, p. 385-393, May 1992. American Psychological Association.
  16. Timothy L Hubbard, May 1990, " Cognitive Representation of Linear Motion: Possible Direction and Gravity Effects in Judged Displacement", Memory and Cognition, vol. 18, no. 3, p. 299-309, May 1990. The Psychonomic Society.
  17. Thomas Thiis-Evensen, 1987, Archetypes in Architecture. Norwegian University Press.
  18. Sven Hesselgren, 1969, The Language of Architecture. Studentlitteratur, Lund, Sweden.
  19. Sven Hesselgren, 1975, Man's Perception of Man-Made Environment: An Architectural Theory. Studentlitteratur, Lund, Sweden.
T Hall, 28-30 September 1999, "Inhabiting Artificial Gravity", . AIAA 99-4524. AIAA Space Technology Conference, 28-30 September 1999, Albuquerque, New Mexico.
Also downloadable from http://www.spacefuture.com/archive/inhabiting artificial gravity.shtml

 Bibliographic Index
Please send comments, critiques and queries to feedback@spacefuture.com.
All material copyright Space Future Consulting except as noted.